诚信为本,市场在变,诚信永远不变...

新闻资讯

地球公转与自转的能量从何而来? No469

  问答导航 Q1 一般不是波长越长穿透力越好吗,为什么超声波反而穿透力更强? Q2 为什么第二宇宙速度恰好是第一宇宙速度的根号二倍? Q3 能不能使得溶液中只存在阴离子或阳离子,得到一杯只显负电或显正电的液体? Q4 为什么超市的可以自由用的那种保鲜袋总感觉有静电会“吸附”在一起? Q5 为什么高铁和火车、动车同样走的都是铁轨,但是他们的速度都不一样? Q6 为什么光线在圆形杯壁里反射会形成心形线 地球自转和公转的能量从哪来? Q8 为什么荔枝摘下来坏的更快?

  Q1 一般不是波长越长穿透力越好吗,为什么超声波反而穿透力更强?这与回声定位,B超中超声波会反弹相矛盾吗?且为什么又说B超中超声波能量不高?

  确实是波长越长(频率越低)穿透力越强,B超中的超声波能量也确实不高,但这些并不自相矛盾,同时也并不与回声定位、超声波会反弹相矛盾。

  首先是穿透力的问题,一般医用超声波的频率2~15MHz,根据需要观察的部位不同,使用的频率也有区分,因为超声波频率越高(波长越短),对应的穿透能力就越弱,但是分辨率就会变高,反之同理。但是决定真实探测情况的也不光有超声波本身的属性,还跟输出的脉冲强度以及人体组织的吸收、散射、阻抗差、反射等影响因素有关。所以在探测的时候,通常会使用特定频率以及脉冲强度的超声波来保证即能够达到需要的穿透深度、准确成像,还不会因为能量太高从而导致人体受到损伤。医学使用的超声仪器也有专门的指标来控制超声波能量,一般其强度在1~100mW/cm²,远低于造成组织加热或者机械损伤的水平。

  其次,无论是回声定位还是B超成像,其核心原理都是脉冲-回声原理:探头发射超声脉冲,遇到界面(比如组织界面、骨头、气体等)就会反射回声,然后再接收并构建影像。一般发射的短脉冲只有几个微秒,然后在长时间接收回波,虽然在传播的过程中,部分能量被吸收、反射,但是多数能量依然继续传播,直到足够接收回声成像。

  最后讨论一下穿透能力更强的普通声波:诚然其在传播过程中损耗更低,但是因为它一般是连续波,其脉冲结构难以控制,而且更加糟糕的是,由于声波的分辨率和其波长相当,普通声波的波长在几厘米到几十米之间,完全无法满足探测是时分辨率的要求,因而选择脉冲结构可控、分辨率在毫米量级的超声波就成为了必然。

  宇宙第一速度(环绕速度)被定义为:物体在地球表面附近无动力绕地球做匀速圆周运动所需要的最小速度,根据万有引力定律和机械能守恒,我们可以计算出 地 地 地 ,进而可以推算出 地 地 ,依据黄金代换 地 地 ,计算得出

  那么宇宙第二速度(逃逸速度)被定义为:物体挣脱地球引力束缚,离开地球的最小发射速度,当物体挣脱地球引力飞向据地球无穷远处时,物体动能和势能都为0焦耳,根据引力势能公式,两物体间的外有引力势能大小为: ,可以推导出, ,

  经过求解即可得到 ,根据公式我们就可以知道之所以差了根号二倍,就是因为能量守恒公式下,一个是动能等于势能,一个是动能等于2倍的势能,那这多了的势能从哪里来呢?当然是为了逃离地球引力而带来的啦!

  Q3 能不能使得溶液中只存在阴离子或阳离子,得到一杯只显负电或显正电的液体?

  可以部分实现,但是这个状态会非常不稳定,只能短时间存在,并且需要苛刻的条件。创造出这种电不中性液体后,液体会产生非常强的电场,导致电子或者离子会被快速吸回来,从而迅速恢复电中性,所以要造出一杯水这么大的显电荷体系,是不现实的。

  但是虽然不能做到整体显电荷,但在受控环境下可以暂时制造电荷不平衡的区域,比如在点击表面附近会形成正负电荷分离,从而局部显电,但是系统整体还是电中性;或者用离子交换膜创造出某一侧富含阴离子或者阳离子的情况,但这需要施加电场维持,无法自然存在;或者可以在实验室中在超精密控制下实现纯电子/离子系统,不过依然极不稳定;再或者是等离子体,它可以形象地理解为是一种包括大量自由电子和离子的带电气体,虽然局部的电荷不均衡是可能的,但是由于电荷屏蔽效应,导致当我们观察的范围尺寸超过德拜长度(在这种体系里一般在纳米级别)时,就依然会回到电中性。

  所以,很遗憾,在溶液体系里,自然选择了电中性,由于电磁相互作用的存在,电中性对于溶液并不是一个“选项”,而是一个“必要条件”。

  保鲜袋会吸附在一起其实是三种作用的共同结果。第一种:静电吸附,市面上的保鲜袋的材料大多为聚乙烯材料,这种高分子材料都是绝缘的,那么在平时的移动、摩擦和揉搓的时候就会积累电荷。我们高中物理都学过,轻的物体带上电之后会被吸附,那么保鲜袋这么轻的物质就很容易因为静电吸引而“粘”在一起了。

  第二种:范德华力,当分子间的距离足够近的时候,彼此之间就会产生分子间作用力,也就是范德华力。当我们两边薄薄的保鲜袋因为静电力靠近在一起至纳米级距离时,分子间的瞬时偶极矩会产生范德华力,这种力会随着距离减小而增大。比如笔者在实验室做实验的时候,经常两片载玻片粘在一起,因为我每次拿不要的载玻片放样品之前都会一起用水冲一遍,导致粘在一起。

  第三种:薄膜之间因为贴合紧密到之后中间的空气被排出,在大气压强的作用下,会形成类似真空吸盘的效果,而且保鲜袋摸着光滑其实表面是凹凸不平的,在两片贴合在一起的时候,就容易导致中间凹凸不平的结构之间形成局部低压区。

  虽然高铁、火车、动车都走在“铁轨”上,但它们在设计理念、轨道系统、动力系统和运行管理上差异巨大,这就造成了它们的运行速度差异。

  普通铁路使用一般线路,轨道类型为木枕/水泥枕、道砟轨道,曲线半径小,轨道误差容忍度高;而随着火车等级提高到动车,再到高铁,所有参数的要求都会大幅提高,比如高铁用的是平整度极高的无砟轨道,曲线半径也是普通铁路的几十倍,这就使得其适合高速运行(否则如果还用普通铁路,就可能导致高铁被甩出去,后果不堪设想),而且其轨道误差容忍度极低,达到了毫米级精度,正是有了这些条件,才使得高铁的安全性能得到了保障。

  这三种火车的本身也是有很大差别的:动力方式上来说,普通火车就是我们在影视剧里看过的车头带动车厢,但是到了高铁,它的动力就分散了,也就是全列都有动力;而且车体结构也有显著不同,相较于普通火车的钢制车体或是动车的铝合金车体,高铁使用了轻质、流线型、高强度合金车体以适应其运行的需要;控制系统也有着本质区别——普通火车的电气化较为简单,但是高铁则能够做到全自动调速、信号即时交互,正是由于这些车体本身性质的差别,高铁才能跑出300~350km/h的速度,速度远远快于普通火车。

  而且,它们的运行环境也有很大区别,高铁使用的是高等级专线,只用来客运,没有红绿灯,没有平交道口,桥梁隧道在线路中的比例也更高(这是为了避免爬坡和走弯道);而普通铁路通常客运与货运混跑、路况复杂,还可能遇到道口、曲线、进站频繁等问题;而且信号系统也不同:普通火车靠司机看信号灯;高铁使用CTCS-3或更高级别列控系统,列车与轨道实时通信,精确控制每列车速度和间距。

  假设杯壁是圆形的,在圆上放一个点光源,让它向四面八方发射光线,光线碰到杯壁会发生反射。如果只考虑一次反射,当光线数量足够多的时候,你会发现反射光线会形成明显的心形包络曲线,像下图那样。

  这说明光线在圆形杯壁里反射形成的心形线不是单一的光线形成的,而是许多条光线的包络线组成的。包络线周围的光线密集,比周围其他地方光强更强,所以我们能看到反射光呈现爱心的模样。

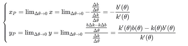
  为什么反射光会形成心形线呢?这完全可以从数学的角度推导。小学二年级的知识告诉我们,想要寻找曲线族的包络线,可以寻找每条曲线与其相近曲线的交点来逼近它与包络线的切点。假设圆的半径为1,A点是光源,B点是反射点,AB和 分别是入射光线和反射光线,假设AB与x轴夹角为 ,于是可以得到入射光 的方程为

  为了求出包络线上的点,假设有一条线与 非常接近,它们交点的极限就是包络线上的点。所以另一条线 的解析式为

  与心形曲线极性方程对比 ,发现当心形曲线后,P点坐标刚好满足该方程。于是我们证明了光线在圆形杯壁里反射形成的是心形线。然而证明的路径不止一种,感兴趣同学可以去网上查看其他大神的证明方法。

  恒星是宇宙中可见物质的最主要组成部分,占宇宙可见物质质量的90%以上。而地球这样的行星,包括矮行星、卫星、小行星、彗星、碎块尘埃等,都是恒星形成后剩下的渣子组成,占比极小。46亿年前太阳系一次临近的超新星爆发,导致太阳系在引力作用下向心坍塌,随着氢和氦以及少量重元素的不断聚集,中心区域物质密度变得越来越大,温度也越来越高,最终达到了氢元素核聚变所需的温度和压力,于是乎太阳就诞生了。

  太阳形成后,在其周围有一个行星吸积盘,一直保留着太阳形成过程的角动量,也就是围绕着太阳旋转。太阳刚形成时,会发出很强的辐射(又叫恒星风),将吸积盘中的物质吹向远方,这样就形成了轻物质被吹得更远,重物质就更近的围绕在太阳周围。由此,围绕着太阳就形成了4颗密度更大的类地行星,它们是水星、金星、地球、火星;而距离太阳更远则形成了4颗密度较小的气态行星,即木星、土星、天王星、海王星。

  在相互引力作用下,行星盘的渣子们相互碰撞凝结,从拳头大渐渐凝聚到一个房子大,越大吸引力就越强,渐渐成为一个球形,并将轨道周围的所有渣子都吸附殆尽,这样行星就形成了。地球公转就是继承了吸积盘的角动量,就是它过去是以什么速度旋转,形成地球后还是按这个速度公转。

  人类早期文明曾认为地球是绝对静止的,直到1851年法国物理学家傅科设计了“傅科摆”,第一次让人类直观看到了地球自转的证据。

  地球自转的形成则有多种说法,主要有撞击说、平衡说和太阳引力说。地球在形成过程,渣子的碰撞和吸附过程中,不可能一直保持不动,会渐渐旋转起来,这就是地球自转的开始阶段;在这些碰撞过程中,地球就形成了现在的自转角度和速度,这是地球自转的主要来源;而行星为了保持公转轨道的稳定性,也必须自转,就像陀螺一样,只有旋转才能保持平衡。还有一种说法,地球自转是受太阳引力作用影响形成的。这种说法认为,太阳引力把行星朝太阳一面吸引得隆了起来(引潮力影响),随着行星公转,这种隆起的部位就会变化,由此强行推动了行星自转。

  有趣的科学实验之傅科摆证明地球自转[J].少年电脑世界,2023,(04):3.

  从果实结构来看,荔枝的果皮由外、中、内三层构成。其中,外层果皮仅含一层薄壁细胞,其外壁和角质层都很薄,这使得它防止水分散失的能力较差;中果皮又分为栅状组织、海绵组织和维管束,而细胞间隙极大的海绵组织在中果皮中占比最大;内果皮则由数层排列相对紧密的薄壁细胞和一层内表皮组成,经超微结构观察,未发现任何特殊结构。荔枝果皮各层之间的结合十分疏松,保水能力极弱,并且果皮与果肉之间仅在种柄部位有衔接,这就导致果肉中的水分无法及时输送到果皮,进而造成果皮失水褐变。

  不仅如此,采摘后的荔枝依然进行着旺盛的生理代谢活动,像呼吸作用、乙烯作用以及酶促反应等,这些活动会加速果实的后熟过程,使得果实中的可溶性固形物、抗坏血酸、可滴定酸和可溶性糖等营养成分被迅速消耗。同时,果实内的类黄酮、花青素等抗氧化物质也会减少,这进一步加快了果实的老化速度,降低它的口感。

  由于荔枝大多在湿热的夏季成熟,此时环境中的病原菌数量多、活性强,荔枝因此极易受到病原菌的侵染。常见的致病菌有荔枝疫霉菌、尖孢炭疽菌、白地霉、链格孢属、曲霉属以及胶孢炭疽菌等多种病原体,它们会导致果实出现霉变和腐烂的情况。此外,机械损伤、环境温度变化、pH值改变等外界因素,也会引发荔枝的褐变和腐烂。

  尽管荔枝容易腐烂,但为了让大家都能吃上新鲜的荔枝,研究人员研发了许多新技术来为荔枝保鲜。目前,最主要的保鲜技术有低温保鲜、气调保鲜、化学药剂保鲜、涂膜保鲜和热处理保鲜等。在这些技术的助力下,北方的小伙伴也能品尝到新鲜可口的荔枝了。

  陈笑冰,包宇航,黄文艺,等.荔枝采后贮藏中保鲜剂的研究进展[J/OL].食品与发酵工业,1-12[2025-07-15]. 2 张长勇,马锞,徐匆,等.荔枝采后腐败褐变机理及保鲜技术研究进展[J].热带作物学报,2013,34(08):1603-1609.

  特别声明:以上内容(如有图片或视频亦包括在内)为自媒体平台“网易号”用户上传并发布,本平台仅提供信息存储服务。

  爱泼斯坦死前48小时签署文件公开:将1亿美元赠予女友,曾考虑迎娶她并留下33克拉钻戒;最后一通电线直播!晚上19:45,王楚钦提前出线,陈熠爆冷?孙颖莎战强敌

  俄罗斯出口石油搞双标,卖给印度35,卖给中国80,这到底是忘恩负义,还是有别的隐情?

  1974年,李讷带着孩子回,毛主席只看了一眼就哭了,颤抖着手拿出所有积蓄:活不下去了就告诉爸,别一个人硬扛

  市场监管总局:对外卖行业补贴战等扰乱市场竞争秩序问题,及时开展行政约谈、划出监管红线

  受存储影响太大!Valve官方表态:Steam Machine价格与日期仍未确定